PERUSAHAAN UMUM DAERAH AIR MINUM
PDAM
Beranda
Profil
Tentang Kami
Visi dan Misi
Struktur Organisasi
Kontak Kami
Galeri
Layanan
Maklumat Pelayanan
Daftar Layanan
Dokumen Publik
PPID
PELANGGAN
KELOMPOK PELANGGAN
KELOMPOK TARIF
PEMBAYARAN TAGIHAN ONLINE
PROSEDUR PENDAFTARAN PELANGGAN
UNIT PELAYANAN
Unit Babat
Unit Brondong
Unit Deket
Unit Made
Unit Mantup
Unit Pucuk
Unit Sekaran
Unit Sugio
Unit Sukodadi
UNIT TIKUNG
Unit Turi
PENGADUAN
Beranda
Pengumuman
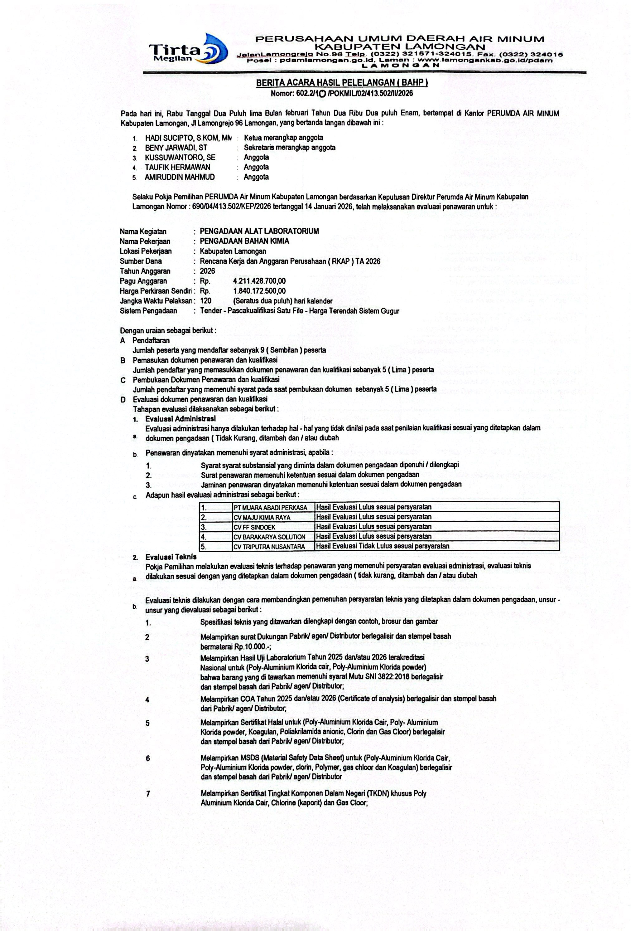
Diumumkan Hasil Pelelangan (BAHP) Pengadaan bahan Kimia Pada Perusahaan Umum Daerah Air Minum Kabupaten Lamongan Tahun Anggaran 2026
Diumumkan Hasil Pelelangan (BAHP) Pengadaan bahan Kimia Pada Perusahaan Umum Daerah Air Minum Kabupaten Lamongan Tahun Anggaran 2026
pengumuman
Rabu, 25 Pebruari 2026
262x dilihat
Adapun Berita Acara Hasil Pelelangan (BAHP) Terlampir.
Posting Lainnya
Pengumuman • 16 Maret 2026
PENGUMUMAN LIBUR NASIONAL DAN CUTI BERSAMA
Pengumuman • 26 Pebruari 2026
PENGUMUMAN PENETAPAN PEMENANG PENGADAAN BAHAN KIMIA
Pengumuman • 25 Pebruari 2026
BERITA ACARA HASIL EVALUASI PENAWARAN TENDER KIMIA PERUMDA AIR MINUM KABUPATEN LAMONGAN
Pengumuman • 13 Pebruari 2026
BERITA ACARA PEMBUKAAN DOKUMEN PENAWARAN
Pengumuman • 05 Pebruari 2026
Diumumkan lelang/Tender Pengadaan Bahan Kimia di Perumda Air Minum Kabupaten Lamongan Tahun 2026
Pengumuman • 15 Januari 2026
PENGUMUMAN PENDAFTARAN CALON PENYEDIA PEMASANGAN PIPA DISTRIBUSI / TERSIER
Pengumuman • 13 Oktober 2025
BERITA ACARA HASIL EVALUASI PENAWARAN TENDER KIMIA PERUMDA AIR MINUM KABUPATEN LAMONGAN
Pengumuman • 13 Oktober 2025
BERITA ACARA HASIL PELELANGAN
Pengumuman • 13 Oktober 2025
PENGUMUMAN PENETAPAN PEMENANG
Pengumuman • 24 September 2025
DIUMUMKAN LELANG/TENDER PENGADAAN BAHAN KIMIA DI PERUMDA AIR MINUM KABUPATEN LAMONGAN TAHUN ANGGARAN 2025
Pengumuman • 28 Agustus 2025
Diumumkan lelang/tender Pengadaan bahan Kimia Di Perumda Air Minum Kabupaten lamongan Tahun Anggaran 2025
Pengumuman • 31 Mei 2025
Polling Berhadiah 5 Motor Listrik untuk Pelanggan PERUMDAM LAMONGAN
Pencarian
LAPOR!
Kategori Posting
Agenda
Berita
Informasi
Pengumuman
lamongankab.go.id
Pengukuhan Pimpinan Dekopinda Lamongan Masa Bakti 2025 - 2030
Terima Kunjungan Kerja Kaskogartap III/Surabaya, Pemkab Lamongan Berkomitmen Perkuat Sinergi Keamanan dan Pembangunan Daerah
DPRD Berikan Rekomendasi LKPJ Bupati Lamongan 2025
Peringatan Hari Otonomi Daerah Ke-XXX Tahun 2026 di Lamongan
Pemkab Lamongan Gandeng Pemuda Untuk Bersinergi Realisasikan Program Strategis Daerah
Dorong Pertumbuhan Ekonomi Inklusif, Lamongan Raih Penghargaan Nasional
Libatkan Ayah dalam Festival 3M, Perkuat Pembinaan Karakter Anak
Pemkab Lamongan Perkuat Komitmen Penurunan Stunting Melalui Program Genting
Pemkab Lamongan Teken MoU Bersama Pengadilan Agama dan Stakeholder Untuk Penguatan Pelayanan, Hak, Hingga Ketahanan Keluarga
Antisipasi Kekeringan 2026, Lamongan Perkuat Strategi dan Tegaskan Peran sebagai Lumbung Pangan Nasional
PERUSAHAAN UMUM DAERAH AIR MINUM KABUPATEN LAMONGAN
Jl. Lamongrejo Nomer 96 Lamongan 62213
pdam@lamongankab.go.id
(0322) 324015
+6282134777714
© 2026 Perusahaan Umum Daerah Air Minum Kabupaten Lamongan